| Trade name |
XHxyl-S |
| Product name |
Xylanase (acidic) |
| CAS RN |
9025-57-4 |
| EINECS No. |
232-800-2 |
| Packing |
SUKAXY ACID: 25kg/drum |
| pH range |
4.0-5.5 |
| Temperature range |
30-60ºC |
| Storage |
Stored in a cool dry place, away from direct sunlight.SUKAXY ACID contains a large amount of active substance, when stored at low temperatures (25ºC or less, but not frozen), its activity can be maintained for a long period of time. |
| Uses |
Used in feed, food, and wastewater treatment process |
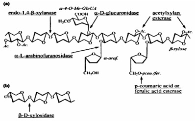
| Characteristic |
Optionally hydrolyzing 1,4-a-D- wood polyglycoside chains in the interior of xylan, thereby releasing the wood - and wood polyglycoside chain oligosaccharides |
| Transformation equation |
 |
| Cautions |
Non-toxic, biodegradable. Avoid unnecessary contact with the long-term contact with some protein products will make some people susceptible to the product after each contact with the product with warm water, hand-washing with soap, not the reach of children. |